
Motordrehzahlregelung bedeutet, anzupassen, wie schnell sich ein Motor dreht, um die genauen Anforderungen einer Aufgabe zu erfüllen.Es geht nicht nur darum, die Geschwindigkeit zufällig zu ändern, sondern auch darum, das Verhalten des Motors auf das zu entsprechen, was das System zu jedem Moment erfordert.Diese Fähigkeit zur Feingeschwindigkeit verbessert die Energieeffizienz, erweitert die Lebensdauer der Geräte, indem es die mechanische Belastung verringert und eine bessere Genauigkeit des Betriebs gewährleistet.Beispielsweise muss ein Förderer möglicherweise verlangsamen, um empfindliche Elemente zu erhalten oder zu beschleunigen, wenn die Linie klar ist.Elektromotoren müssen sich häufig an ändern, um Lasten, Aufgaben oder Umgebungen zu ändern.Ohne einstellbare Geschwindigkeit würden die Motoren nur mit einer festen Geschwindigkeit ausgeführt, was sie weniger nützlich und weniger effizient macht.
Die Geschwindigkeit wird durch Einstellen des elektrischen Eingangs gesteuert.In Wechselstrommotoren bedeutet dies normalerweise, die Häufigkeit der Netzteil zu ändern.In DC -Motoren sind Spannungsänderungen häufiger.Einige Systeme verwenden auch Feedback -Sensoren, um die Leistung zu überwachen und Anpassungen vorzunehmen.Diese Rückkopplungsschleife hilft, eine konsistente Geschwindigkeit aufrechtzuerhalten, selbst wenn die Lasten variieren.Die Geschwindigkeitsregelung reicht von Basiswiderständen in älteren Systemen bis hin zu fortschrittlichen digitalen Controllern unter Verwendung von Mikroprozessoren und hoch entwickelten Algorithmen.Diese neueren Methoden ermöglichen es den Motoren, reibungslos und genau auf sich ändernde Bedingungen zu reagieren.
Wechselstrom -Motordrehzahl hängt von zwei Dingen ab: der Häufigkeit der Wechselstromleistung und der Anzahl der Pole im Motor.Um die Geschwindigkeit zu ändern, ändern wir die Frequenz.Hier kommen variable Frequenz-Laufwerke (VFDs) ins Spiel. Eine VFD wandelt eine Wechselstromleistung mit fester Frequenz in DC um, glättet sie und wandelt sie dann bei der gewünschten Frequenz wieder in Wechselstrom um.Dadurch wird die Motordrehzahl präzise eingestellt.Durch die Steuerung von Frequenz und Spannung können VFDs das Motormoment und die Geschwindigkeit effizienter verwalten.

Abbildung 2. Blockdiagramm eines Wechselstrom -Motor -Geschwindigkeitskontrollsystems
Moderne Variablenfrequenz-Laufwerke (VFDs) gehen über die ledigliche Anpassung der Motordrehzahl hinaus, indem fortschrittliche Steuerungstechniken wie Vektorsteuerung einbezogen werden, die Drehmoment und Fluss für die fein abgestimmte Leistung und die direkte Drehmomentsteuerung (DTC), die schnelle und präzise Drehmomentanpassungen liefert, trennt.Diese Fähigkeiten ermöglichen es den Motoren, die Lasten zu beschleunigen, zu verlangsamen und effizient zu halten, ohne dass zusätzliche mechanische Komponenten oder zusätzliche Spannung erforderlich sind.Funktionen wie Soft-Start-Funktionen, eingebauter Überlastschutz und fortschrittliche Diagnostik haben VFDs über eine Vielzahl von Anwendungen, von Wasseraufbereitungsanlagen bis hin zu Aufzugssystemen, wichtig gemacht.
DC -Motoren werden häufig ausgewählt, wenn schnelle, genaue Geschwindigkeitsänderungen erforderlich sind.Ihre Geschwindigkeit ändert sich direkt mit der auf den Anker angewendeten Spannung.Last beeinflusst auch die Geschwindigkeit, eine erhöhte Last verlangsamt den Motor typischerweise.Die heute effizienteste Methode ist PWM.Es verwendet Hochfrequenzspannungsimpulse mit einstellbaren Breiten, um die durchschnittliche Spannung zu steuern, die dem Motor geliefert wird.Dies ermöglicht eine präzise Geschwindigkeitskontrolle mit geringem Stromverlust.

Abbildung 3. Blockendiagramm eines Gleichstrom -Motordrehzahlregelsystems
Andere Kontrollmethoden umfassen die Feldsteuerung, wobei die Einstellung des Stroms im Magnetfeld die Motordrehzahl verändert und die Geschwindigkeit erhöht, die Geschwindigkeit erhöht, das Drehmoment jedoch verringert.Ankerwiderstandskontrolle, eine einfache, aber ineffiziente Methode, die Widerstand zur Reduzierung von Spannung und Geschwindigkeit ergibt;und Control Control, die Sensoren zur Überwachung der Geschwindigkeit und zur automatischen Einstellung der Spannung oder des Stroms verwendet, um die konsistente Leistung unter unterschiedlichen Lasten aufrechtzuerhalten.Aufgrund ihrer hohen Präzision und Reaktionsfähigkeit werden DC-Motoren häufig in Robotik, medizinischen Geräten und batteriebetriebenen Werkzeugen eingesetzt.
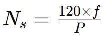
Wechselstrom -Motordrehzahlsteuerungstechniken basieren auf der Formel für die Synchrongeschwindigkeit:

Wo:
• NS ist eine Synchrongeschwindigkeit (in Drehzahl)
• F ist die Häufigkeit der Wechselstromversorgung (in Hz)
• P ist die Anzahl der Stangen des Motors
Durch die Variation der Versorgungsfrequenz kann die Motordrehzahl eingestellt werden, die mit variablen Frequenzantrieben (VFDs) erreicht wird.Es gibt zwei Haupttypen der VFD-Steuerung: Skalar (v/f) Kontrolle, die ein konstantes Verhältnis von Spannung zu Frequenz beibehalten und für grundlegende Anwendungen einfach und stabil ist.und Vektorkontrolle, die Drehmoment- und Magnetflusskomponenten trennt, um eine präzisere und reaktionsfähigere Kontrolle zu ermöglichen, insbesondere bei niedrigen Geschwindigkeiten.Fortgeschrittene Systeme beinhalten sensorlose Kontrolle und schätzen die motorische Position, ohne dass physikalische Sensoren erforderlich sind.Darüber hinaus sind VFDS -Supportfunktionen wie kontrollierte Beschleunigung (Rampen), Drehmomentbegrenzung und Bremsung, wodurch sie für anspruchsvolle Anwendungen wie Aufzüge, Krane und CNC -Maschinen sehr geeignet sind.
DC Motors Geschwindigkeit wird von der Beziehung bestimmt,

Wo:
• V ist Ankerspannung
• IA ist Ankerstrom
• RA ist Ankerwiderstand
• φ ist magnetischer Fluss
Unter verschiedenen Geschwindigkeitsregelungstechniken bleibt die Impulsbreitenmodulation (PWM) aufgrund seiner Effizienz und Reaktionsfähigkeit am effektivsten.Andere Methoden sind die Schwächung des Flusses, was die Geschwindigkeit erhöht, indem die Magnetfeldstärke reduziert wird, die in Situationen geeignet ist, in denen ein geringes Drehmoment akzeptabel ist.Ankerwiderstandskontrolle, die aufgrund von Energieverlusten einfacher, aber weniger effizient ist;und Control Control mit Feedback, das Sensoren wie Encoder oder Tachogeneratoren verwendet, um eine präzise und adaptive Geschwindigkeitsregulierung zu liefern.
Spannungsregelung: Diese Methode verlangsamt den Motor, indem die Versorgungsspannung auf die Statorwicklungen reduziert wird.Wenn die Spannung abfällt, nimmt die Magnetfeldstärke ab, was zu einem geringeren Drehmoment und einer geringeren Geschwindigkeit führt.Während die Einfachheit dieser Methode sie für grundlegende Anwendungen attraktiv macht, insbesondere bei Lüfter- oder Pumpenlasten, ist sie im Allgemeinen ineffizient, da der Motor auch bei reduzierten Geschwindigkeiten weiterhin hohen Strom zeichnet, was zu erhöhten Wärme- und Energieverlusten führt.Es ist für leichte Operationen reserviert, bei denen keine genaue Kontrolle erforderlich ist.
Frequenzsteuerung (VFDS): Variable Frequenzantriebe (VFDs) Passen Sie sowohl die Spannung als auch die Frequenz an den Motor ein und ermöglichen eine präzise und effiziente Steuerung von Geschwindigkeit und Drehmoment.Durch die Aufrechterhaltung eines konstanten Volt-Per-Hertz-Verhältnisses erhalten VFDs den Magnetguthaben und das Drehmomenteigenschaften des Motors über einen weiten Geschwindigkeitsbereich.Diese Methode wird in modernen industriellen und kommerziellen Anwendungen aufgrund ihrer Energieeffizienz, Anpassungsfähigkeit und der Fähigkeit, reibungslose Lastbedingungen zu bewältigen, häufig eingesetzt.
Pole ändern: Einige Eichhörnchen -Käfig -Induktionsmotoren sind mit Statorwicklungen ausgelegt, die neu konfiguriert werden können, um die Anzahl der Magnetpolen zu ändern.Durch die Änderung der Polzzahl ändert sich die Synchrongeschwindigkeit des Motors in diskreten Schritten (z. B. von 2-polig bis 4-poligen Betrieb), sodass der Motor mit unterschiedlichen festen Geschwindigkeiten laufen kann.Diese Methode bietet einen einfachen und robusten Weg, um eine Mehrfachgeschwindigkeitssteuerung zu erreichen, ohne dass eine externe Elektronik erforderlich ist. Sie ist jedoch auf vordefinierte Geschwindigkeitseinstellungen beschränkt und es fehlt eine reibungslose Variabilität.
Externer Rotorwiderstand : Diese Technik beinhaltet das Hinzufügen von variablen Widerständen in den Rotorkreis über Schlupfringe und Bürsten.Durch Erhöhen des Rotorwiderstands wird der Schlupf erhöht, der die Rotorgeschwindigkeit senkt und eine bessere Drehmomentregelung bietet, während des Starts oder für Lasten, die ein variables Drehmoment erfordern, nützlich sind.Ein Teil der elektrischen Energie wird jedoch als Wärme in den externen Widerständen abgeleitet, wodurch die Methode für den kontinuierlichen Gebrauch ineffizient ist.
Kaskadenkontrolle: In diesem Setup sind zwei Motoren mechanisch gekoppelt, und ein Motor (Sekundär- oder Hilfsmotor) ist elektrisch an den Rotorschaltkreis des Hauptmotors (primär) angeschlossen.Diese Anordnung ermöglicht die Aufteilung und die Geschwindigkeitsregelung in festen Schritten, abhängig vom Design der elektrischen und mechanischen Verbindung.Obwohl in modernen Systemen relativ komplex und weniger verbreitet, war die Kaskadenkontrolle ein effektiver Weg, um große Lasten und Zwischengeschwindigkeiten in den Legacy Industrial Machinery zu verwalten.
EMF -Injektion: Elektromotive Kraft (EMF) -injektion, die in Systemen wie Kramer und Scherbius -Laufwerken verwendet wird, beinhaltet die Injektion einer kontrollierten Spannung spezifischer Frequenz und Phase in den Rotorkreis.Dies ändert die Schlupffrequenz des Rotors und ermöglicht den Betrieb mit variabler Geschwindigkeit mit besserer Effizienz als Widerstandsmethoden.Diese Laufwerke eignen sich gut für Hochleistungsanwendungen, bei denen eine präzise Geschwindigkeitsregulierung und die Energiewiederherstellung wichtig sind, z. B. bei großen Kompressoren, Pumpen oder Mühlen.
Feldkontrolle: Diese Methode beinhaltet das Einsetzen eines variablen Widerstands in Reihe mit der Feldwicklung eines DC -Shunt -Motors.Durch Erhöhung des Widerstands nimmt der Strom durch die Feldwicklung ab, was den magnetischen Fluss schwächt.Nach der Geschwindigkeitsgleichung eines Gleichstrommotors führt eine Verringerung des Flusses zu einer Geschwindigkeitssteigerung unter der Annahme einer konstanten Ankerspannung.Die Feldsteuerung ist relativ effizient, um die Geschwindigkeit über dem Nennwert zu erhöhen.Da es jedoch auch das Drehmoment reduziert und Instabilität oder Überdrehung verursachen kann, muss diese Methode mit der Pflege angewendet werden und erfordert häufig Schutzmaßnahmen.
Ankerspannungsregelung: Bei dieser Methode wird die am Anker gelieferte Spannung direkt variiert, während der Feldfluss konstant bleibt.Durch die Senkung der Ankerspannung werden die Geschwindigkeit und das Drehmoment proportional reduziert.Diese Technik ist einfach zu implementieren und ermöglicht eine reibungslose Steuerung unterhalb der Nenngeschwindigkeit.Es ist jedoch weniger energieeffizient, insbesondere unter Last, da überschüssige Energie häufig als Wärme in Kontrollwiderständen oder in Leistungselektronik gelöst wird.
Ward-Leonard-System: Dieses klassische Steuerungssystem verwendet einen Motorgenerator (M-G), wobei eine variable Spannung erzeugt wird, indem der Ausgang eines DC-Generators gesteuert wird, der von einem Wechselstrom- oder Gleichstrommotor angetrieben wird.Die erzeugte Spannung wird in den Anker des Shunt -Motors gespeist und ermöglicht eine feine und kontinuierliche Kontrolle über einen weiten Geschwindigkeitsbereich in beide Richtungen.Obwohl das Ward-Leonard-System kostspielig und sperrig ist, liefert es eine hervorragende Leistung in Bezug auf Drehmomentkontrolle und Geschwindigkeitsregulierung, was es ideal für anspruchsvolle Anwendungen wie Aufzugsebene, Rollmühlen und Druckdruckmaschinen macht.
Felddauer: Ein Widerstand (Ausweis) ist parallel zur Serienfeldwicklung verbunden.Dies ermöglicht es einem Teil des Stroms, die Feldwicklung zu umgehen, den magnetischen Fluss zu schwächen und die Motordrehzahl zu erhöhen.Diese Methode bietet eine grundlegende Form der Geschwindigkeitskontrolle und nützlich in Anwendungen wie Traktion, bei denen temporäre Geschwindigkeitssteigerungen erforderlich sind.Es reduziert jedoch das Drehmoment und muss sorgfältig ausgeglichen werden, um Instabilität oder Motorüberhitzung zu verhindern.
Ankermehr : Durch die parallel zur Ankerschaltung platzierende Widerstand kann die Stromverteilung zwischen dem Anker und dem Feld modifiziert werden.Diese Einstellung verändert die vom Motor charakteristische Drehmomentspeed.Es ist eine differenziertere Methode als Felddiverter, die eine bessere Kontrolle über das Drehmoment ermöglicht. Es führt jedoch zu Komplexität und erfordert eine sorgfältige Abstimmung, um Leistungsverluste oder Schäden zu vermeiden.
Field & Neugruppierung abgebildet: Diese Methode modifiziert die Magnetfeldstärke, indem die Anzahl der aktiven Kurven in der Feldwicklung geändert wird.Durch die Verwendung von TAPS auf die Wickelung oder Umordnung der Verbindungen (Neugruppengruppe) können verschiedene magnetische Konfigurationen ausgewählt werden, um die Geschwindigkeits-Drehmque-Kurve zu verschieben.Es liefert feste Geschwindigkeitsschritte und wird üblicherweise in Geräten verwendet, bei denen vorhersehbare Geschwindigkeitsänderungen ausreichend sind, wie z. B. Krane oder Hebezeuge.
Widerstandskontrolle: Eine Grundmethode, bei der externe Widerstände in Reihe mit dem Motor hinzugefügt werden, um die Spannung zu fallen und die Geschwindigkeit zu verringern.Diese Methode ist zwar einfach und kostengünstig, ist jedoch sehr ineffizient, da ein Großteil der elektrischen Energie als Wärme verloren geht.Es wird im Allgemeinen nur in kostengünstigen oder älteren Systemen verwendet, bei denen Effizienz kein Hauptanliegen ist.
Parallelsteuerung der Serie: In dieser Technik werden zwei oder mehr Serienmotoren entweder in Serie oder parallel angeschlossen.In Serie teilen sie den gleichen Strom und arbeiten mit einer geringeren Geschwindigkeit mit höherem Drehmoment.Parallel dazu arbeiten sie mit höherer Geschwindigkeit mit reduziertem Drehmoment.Diese Kontrollmethode ermöglicht Schrittänderungen der Geschwindigkeit und tritt häufig in elektrischen Traktionssystemen wie Straßenbahnen und Zügen vor, bei denen eine einfache und zuverlässige Geschwindigkeitskontrolle erforderlich ist.
Industrie
In industriellen Umgebungen spielt die Wechselstrom -Motordrehzahlregelung eine Rolle bei der Optimierung von Prozessen, an denen Förderer, Mischer, Pumpen und andere mechanische Systeme beteiligt sind.Durch die genaue Regulierung der Motordrehzahl mithilfe von Geräten wie variabler Frequenztrieben (VFDS) können Vorgänge auf spezifische Produktionsanforderungen abgestimmt werden, was zu einer verbesserten Prozessgenauigkeit, einer verringerten mechanischen Belastung und Energieeinsparungen führt.Beispielsweise reduziert die Verlangsamung eines Förderbandes während der Produktinspektion oder das sanfte Aufstieg eines Mixers den Verschleiß und verbessert die Sicherheit.Diese Flexibilität verbessert die Gesamteffizienz und erweitert die Lebensdauer von Maschinen.
HVAC
Heizungs-, Belüftungs- und Klimaanlagen (HLK-Systeme) profitieren stark von geschwindigkeit kontrollierten Motoren in Lüfter, Gebläsen und Kompressoren.Durch die Einstellung der Motordrehzahl in Reaktion auf Umgebungsbedingungen und Systemanforderungen wird der Energieverbrauch verringert, insbesondere in variablen Lastsituationen wie Temperaturschwankungen oder Belegungsänderungen.VFDs ermöglichen eine weiche Start- und Feinabstimmungsmodulation von Luftström- und Kühlzyklen, was zu einem ruhigeren Betrieb, einem verbesserten Komfort und niedrigeren Betriebskosten sowohl in Wohngebäuden als auch in gewerblichen Gebäuden führt.
Hausgeräte
Moderne Haushaltsgeräte wie Waschmaschinen, Kühlschränke und Geschirrspüler verwenden zunehmend geschwindigkeitsgesteuerte Wechselstrommotoren, um die Leistung und die Energieeffizienz zu verbessern.Zum Beispiel ermöglichen Variablengeschwindigkeitsmotoren in Waschmaschinen unterschiedliche Waschzyklen mit optimierter Agitation und Spingeschwindigkeiten, wodurch Rauschen und Vibrationen reduziert werden.In Kühlschränken können Kompressoren mit Geschwindigkeitsregelung Kühlzyklen reibungsloser einstellen und konsistente Temperaturen mit weniger Energieverbrauch aufrechterhalten.
Smart Infrastructure
In intelligenten Gebäuden und Transportsystemen ist die Wechselstrom -Motor -Geschwindigkeitskontrolle ein wesentlicher Bestandteil der Verwaltung von Aufzügen, Rolltreppen, beweglichen Gehwegen und automatisierten Türen.Diese Systeme verwenden häufig intelligente Motorcontroller, die mit den BMS -Netzwerken (Gebäudetodes) oder IoT -Netzwerken übereinstimmen, um Steuerung, Diagnose und Energieüberwachung bereitzustellen.Beispielsweise können Aufzüge Beschleunigungs- und Verzögerungsprofile basierend auf der Passagierbelastung oder des Bodenbedarfs anpassen und den Fahrkomfort und den Energieverbrauch verbessern.Rolltreppen können bei Nichtgebrauch verlangsamen oder innehalten, wodurch der Verbrauch von Leerlaufstrom verringert und nach Nachhaltigkeitszielen in der modernen Infrastrukturdesign übereinstimmt.
Robotik
DC -Motoren werden in der Robotik häufig verwendet, da sie eine schnelle Reaktion und eine präzise Geschwindigkeit und Positionskontrolle liefern können.Mit Hilfe der Pulsbreitenmodulation (PWM) und Feedback-Systeme wie Encoder können Robotersysteme eine feinkörnige Bewegung erreichen, die für Aufgaben wie Objektmanipulation, Navigation und Koordination erforderlich ist.Diese Reaktionsfähigkeit ist wichtig in Anwendungen, die von industriellen Roboterarmen bis hin zu autonomen mobilen Robotern reichen.
Elektrofahrzeuge
In Elektrofahrzeugen (EVS) ist die DC -Motordrehzahlregelung gut für die reibungslose Beschleunigung, Verlangsamung und die Gesamtantriebsleistung.Durch Einstellen der Spannung und des an den Motor gelieferten Stroms können Fahrzeuge nahtlos zwischen verschiedenen Geschwindigkeits- und Drehmomentniveaus wechseln, wodurch das Fahrkomfort und die Kontrolle verbessert werden.Regenerative Bremssysteme verwenden den kontrollierten DC -Motorbetrieb, um die kinetische Energie während des Brems wieder in elektrische Energie umzuwandeln, die Gesamteffizienz zu verbessern und die Batterielebensdauer zu verlängern.Diese Merkmale machen DC-Motoren ideal sowohl für Zweirad- als auch für Allrad-Elektrotransportsysteme.
Verbrauchergeräte
DC -Motoren sind das Herzstück vieler kompakter und tragbarer Verbrauchergeräte, darunter Elektrowerkzeuge, Faartrockner, Computerkühlventilatoren und kleine Küchengeräte.Die Geschwindigkeitskontrolle in diesen Anwendungen gewährleistet eine optimale Leistung, Sicherheit und Energieeffizienz.Zum Beispiel ermöglichen bei Leistungsübungen die Trigger mit variabler Geschwindigkeit, Drehmoment und Geschwindigkeit für verschiedene Materialien einzustellen, während bei Lüftern die Geschwindigkeitsschwankung eine bessere Komfort- und Geräuschsteuerung bietet.Kompaktes Design und einfache elektronische Steuerung machen Gleichstrommotoren für batteriebetriebene Geräte geeignet.
Medizinische und Laborausrüstung
Medizinische und Laborinstrumente erfordern einen stark kontrollierten, ruhigen und zuverlässigen Motorbetrieb.DC -Motoren mit präziser Geschwindigkeitskontrolle werden in Geräten wie Infusionspumpen, Zentrifugen, chirurgischen Werkzeugen und automatisierten Analysatoren verwendet.Diese Anwendungen erfordern einen stillen Betrieb, um störende sensible Umgebungen sowie eine genaue Bewegungsregelung für eine präzise Abgabe oder Messung von Flüssigkeiten, Proben oder chirurgischen Bewegungen zu vermeiden.Bürstenlose Gleichstrommotoren (BLDCs) sind für ihre geringen Rauschen, geringe Wartung und konsistente Leistung bevorzugt.
|
Besonderheit |
Wechselstrommotor |
Gleichstrommotor |
|
Stromquelle |
Verwendet Wechselstrom (AC) |
Verwendet Gleichstrom (DC) |
|
Wie Geschwindigkeit kontrolliert wird |
Geschwindigkeitsänderungen durch Anpassen der Frequenz mit einer Variablen
Frequenzantrieb (VFD) |
Geschwindigkeitsänderungen durch Einstellen der Spannung oder des Feldstroms |
|
Kontrollkomplexität |
Komplexer: benötigt VFDs, manchmal Vektorkontrolle, manchmal
Sensoren |
Einfacher: Verwendet Spannungsänderungen, PWM oder Feldsteuerung |
|
Ansprechzeit |
Langsamere Reaktion aufgrund von VFD -Verzögerung |
Schnelle Reaktion, insbesondere bei digitaler Kontrolle |
|
Drehmoment Start |
Niedrige ohne spezielle Kontrollmethoden |
Standardmäßiges Startdrehmoment |
|
Drehmoment bei unterschiedlichen Geschwindigkeiten |
Drehmoment kann bei niedrigen Geschwindigkeiten sinken |
Behält ein starkes Drehmoment bei allen Geschwindigkeiten bei |
|
Geschwindigkeitsstabilität |
Gut mit Closed-Loop-Systemen;weniger stabil ohne |
Hervorragende Kontrolle und Stabilität über alle Geschwindigkeiten hinweg |
|
Geschwindigkeitsbereich |
Durch das Antrieb und das Motorkonstruktion begrenzt |
Der weite Bereich von sehr niedrig bis hohe Geschwindigkeiten |
|
Wartungsbedürfnisse |
Niedrig: Keine Bürsten oder Kommutatoren |
Höher: Bürsten abnutzen, es sei denn bürstenlos |
|
Haltbarkeit in harten Umgebungen |
Stärker robuster und besser für schwierige Bedingungen |
Gebürstete Motoren sind in rauen Umgebungen weniger langlebig |
|
Wärmehandhabung |
Oft mit Kühlsystemen gebaut |
Kann überhitzt, wenn nicht richtig abgekühlt |
|
Rauschen & Störung (EMI) |
Kann elektrisches Rauschen (EMI) erzeugen;muss filtern |
Gebürstete Motoren machen Geräusche;Pinselless sind leiser |
|
Stromversorgungsbedürfnisse |
Funktioniert direkt mit Wechselstromkastanlagen (z. B. 120 V oder 240 V) |
Benötigt DC -Versorgung oder -wandler von AC |
|
Umkehrrichtung |
Erfordert eine Programmierung in VFD |
Einfach: einfach die Polarität umkehren oder eine H-Brücke verwenden |
|
Regeneratives Bremsen |
Kompliziert und teuer eingerichtet |
Einfach und effizient, in EVs und Robotik verwendet |
|
Energiewiederherstellung |
Möglich mit fortschrittlichen VFDs |
Unterstützt natürlich die Energiewiederherstellung |
|
Integration der digitalen Steuerung |
Verbindet sich mit Systemen wie PLCs über die VFD |
Leicht durch Mikrocontroller gesteuert werden |
|
Effizienz
|
Sehr effizient bei konstanten Geschwindigkeiten |
Sehr effizient mit variabler Geschwindigkeit oder häufig
Startet/stoppt |
|
Größe des Steuerungssystems |
VFDs können groß sein und Kühlung benötigen |
DC -Controller sind klein und einfach zu installieren |
Die steuerende Motordrehzahl ist in den heutigen Maschinen und Geräten sehr wichtig.Es hilft, Energie zu sparen, lässt die Maschinen länger halten und hält sie reibungslos verlaufen.Wechselstrommotoren verwenden häufig VFDs, um die Geschwindigkeit zu ändern, indem die Frequenz der Leistung angepasst wird.DC-Motoren ändern die Geschwindigkeit, indem sie die Spannung oder schnelle Ein-Aus-Signale (PWM) einstellen.Diese Methoden lassen Maschinen ihre Arbeit besser machen, sei es eine große Werksmaschine, eine Klimaanlage oder ein Roboterarm.Wechselstrommotoren eignen sich hervorragend für schwere Arbeitsplätze und langlebige Verwendung, während DC-Motoren besser sind, wenn eine schnelle und genaue Bewegung erforderlich ist.Durch die Verwendung der richtigen Geschwindigkeitsregelungsmethode stellen wir sicher, dass Maschinen sicher und effizient funktionieren und genau wie wir sie brauchen.
Bitte senden Sie eine Anfrage, wir werden sofort antworten.
Die Stromversorgung hängt mehr vom motorischen Konstruktion ab als vom Typ (AC oder DC).Bei derselben Größe und Spannungsbewertung sind Wechselstrommotoren jedoch leistungsfähiger, da sie höhere Lasten bewältigen können und für den kontinuierlichen, hochkarätigen Gebrauch gebaut werden.Industrielle Wechselstrommotoren wie Dreiphasen-Induktionsmotoren sind in Fabriken häufig, da sie große Maschinen zuverlässig fahren können.Andererseits bieten DC-Motoren eine präzisere Geschwindigkeit und Drehmomentkontrolle, aber sie werden normalerweise in kleineren, spezialisierten Anwendungen wie Robotik verwendet, bei denen eine fein abgestimmte Bewegung wichtiger ist als Rohleistung.
DC -Motoren erzielen normalerweise höhere RPMs (Revolutionen pro Minute) als Wechselstrommotoren, insbesondere kleine dauerhafte Magnet- oder bürstenlose Gleichstrommotoren.Dies liegt daran, dass Gleichstrommotoren nicht auf die Stromleitungsfrequenz angewiesen sind und sich schneller durch die Erhöhung der Spannung drehen können.Die Wechselstrom -Motordrehzahl ist jedoch an die Eingangsfrequenz und die Anzahl der Pole gebunden, sodass sie begrenzter ist, es sei denn, fortschrittliche VFDs werden verwendet.DC-Motoren werden häufig verwendet, wenn Hochgeschwindigkeitsleistung benötigt wird, z. B. in Elektrowerkzeugen, Drohnen oder medizinischen Geräten.
Nicht immer.Wechselstrommotoren dauern in schweren Umgebungen länger.Dies liegt daran, dass die meisten Wechselstrommotoren, insbesondere Induktionstypen, weniger bewegliche Teile und keine Bürsten haben, was im Laufe der Zeit weniger Verschleiß bedeutet.Bürstete DC -Motoren tragen aufgrund von Reibung zwischen Bürsten und dem Kommutator schneller ab.Pinsellose DC-Motoren (BLDCs) haben jedoch eine lange Lebensdauer ähnlich wie Wechselstrommotoren und sind in Geräten mit geringer Leistung oder Präzision sehr zuverlässig.Es hängt also von der Art des DC -Motors und der Verwendung ab.
Wechselstrommotoren können schwerer zu steuern sein, da das Ändern ihrer Geschwindigkeit komplexe Geräte wie VFDs erfordert.Sie reagieren auch nicht so schnell auf die Kontrolle von Signalen, was sie weniger ideal für Aufgaben, die schnelle Geschwindigkeitsänderungen benötigen.DC -Motoren, insbesondere gebürstete, erfordern aufgrund von Bürstenverschleiß mehr Wartung.Sie können bei hohen Leistungsstufen auch weniger effizient sein und benötigen elektronische Controller wie PWM -Schaltkreise für die Geschwindigkeitskontrolle.Darüber hinaus können sie oft nicht mit großen Lasten und Wechselstrommotoren umgehen, ohne sperrig oder überhitzend zu werden.
Bei Wechselstrommotoren werden variable Frequenz -Laufwerke (VFDs) verwendet, um die Geschwindigkeit zu ändern, indem die Frequenz und Spannung der Stromversorgung angepasst wird.Für DC -Motoren ist die Pulsbreitenmodulation (PWM) die häufigste Methode, bei der die Geschwindigkeit durch schnelles Schalten der Spannung ein und aus angepasst wird, um die Stromversorgung zu steuern.In beiden Fällen können Steuersysteme mit geschlossenem Schleifen mithilfe von Sensoren hinzugefügt werden, um die Motordrehzahl zu überwachen und automatisch anzupassen, wodurch ein konsistenter und präziser Betrieb über unterschiedliche Lasten hinweg angeboten wird.
auf 2025/05/21
auf 2025/05/20
auf 8000/04/18 147758
auf 2000/04/18 111938
auf 1600/04/18 111349
auf 0400/04/18 83721
auf 1970/01/1 79508
auf 1970/01/1 66914
auf 1970/01/1 63059
auf 1970/01/1 63012
auf 1970/01/1 54081
auf 1970/01/1 52131